√画像をダウンロード V[ubNEAm[ 232192-V u l n e r a b l e meaning
V a g hi ck o ry hil l j a m e s l e o re s e l m a b urk e e ap p l e gol d cu p d em ar ee f er nr d ge mc ki r a n d g um w o d je f f e rs i n de p en e n ce c o r c e l o b ri d ge k at i g r a n p n c l m g a ri dg e w n w w d s ce ni c b et wy k ma t h e wsindia n t r a il w y k s a xf or d a n n a b lV i l r d tr o ley und c o s i n g g a t e d r switchyard dr mc b c o s i n g c r swa ns e a ln o l d s t a t e s l e r d m d n i t s w a y r dr l t i dr ct ct e e r s o y e e i n g ' dr ti n n o i w rd e t dr n b e d n g r n a r d e i n t k e d r ln cre ofle sas ano brin kle davi dso aca pec
Past Exam On Discrete Structures For Computer Science With Answers Cse 260 Docsity
V u l n e r a b l e meaning
V u l n e r a b l e meaning-



Washington District Of Columbia City Directory M Lab Navy Yard Rl27 Heckman Se Julius C Elk Treas Hl013 B Netownley Cornelius D Cianemn Navy Yard Hlll4 C Setowns Bessie I Elk



Cs Computation Lecture Notes 18 Toc Is An Extension Of Mcs And As Such Extends On The Topics Originally Covered In Mcs Such As Inductive Proofs And Studocu



Washington District Of Columbia City Directory M Lab Navy Yard Rl27 Heckman Se Julius C Elk Treas Hl013 B Netownley Cornelius D Cianemn Navy Yard Hlll4 C Setowns Bessie I Elk



Freshly Isolated Cells A B E F I J M N Q R U V And Luteal Cells Download Scientific Diagram



Slides Show



Iau Volume 10 Issue S313 Cover And Back Matter Proceedings Of The International Astronomical Union Cambridge Core



Exponentiation Wikipedia



Program Cpp 12 140 Error In C 98 X Must Be Initialized By Constructor Stack Overflow



Page Code Of Hammurabi 1904 Pdf 30 Wikisource



Show That V U Oplus W Wedge Exists U In U W In W U Neq 0 W Neq 0 Rightarrow Exists Tilde W Neq W Subseteq V Tilde W Oplus U V Mathematics Stack Exchange



Answered Sets Worksheet 1 1 State Whether Each Bartleby



Unraveling The Origin Of Cladocera By Identifying Heterochrony In The Developmental Sequences Of Branchiopoda Frontiers In Zoology Full Text



A P R O X I M A T N L G H S F E U C D I S C R E T A P L D M A H M 1 Ppt Download



Levelup 0x02 Small Files And Big Bounties Exploiting Sensitive Files Youtube



Solved Please Solve E I K O And U And Draw Its Chegg Com



Chord La Fille D Essaouira Louis Bertignac Tab Song Lyric Sheet Guitar Ukulele Chords Vip



Xps Spectra Of A Al 2p And B N 1s Of The U Rdx M Al Mixture C Al Download Scientific Diagram



A Confusion About Sigma Compact As A Condition In Rudin 2 17 Mathematics Stack Exchange



Industrial Electrical Uae Italy Switzerland Israel New Zealand France India Amabest Us Uk European Adapter International Universal Travel Adapter Plug Adapter Converter C Y X T G F L B V U M E Z N Adapter For Eu Outlets Accessories



Hw2



The Monticola R H Hti B 2a W V U Founded 1873 T Colors N Silvp R And Magneta93 Lt I Lt Lt M M M Ic Ss Eii Sq S Idelta Tbapter Fralres In U Be Walter H Smith Edgar



Italy India Israel Amabest Us Uk European Adapter International Universal Travel Adapter Plug Adapter Converter C Y X T G F L B V U M E Z N Adapter For Eu Uae Switzerland New Zealand France Industrial Electrical Industrial Scientific Vit Edu Au



Unit 2 Seminar Welcome To Mm150 To Resize Your Pods Ppt Download



Pdf Gamma Convergence For High Order Phase Field Fracture Continuum And Isogeometric Formulations



Past Exam On Discrete Structures For Computer Science With Answers Cse 260 Docsity



Chord Bil Je Maj Niet Tab Song Lyric Sheet Guitar Ukulele Chords Vip



Degradation Of Hiv 1 Integrase By The N End Rule Pathway Journal Of Biological Chemistry



Modified View Of Energy Budget Diagram And Its Application To The Kuroshio Extension Region In Journal Of Physical Oceanography Volume 51 Issue 4 21



The Andes Of Southern Peru P Ol 15 10 Fig 106 A Diurnal Temperature Morococha 1908 F P 7k Cz V M I Hi Iz X2 Z Art Ftv



Single Switched Capacitor Battery Balancing System Enhancements Topic Of Research Paper In Electrical Engineering Electronic Engineering Information Engineering Download Scholarly Article Pdf And Read For Free On Cyberleninka Open Science Hub



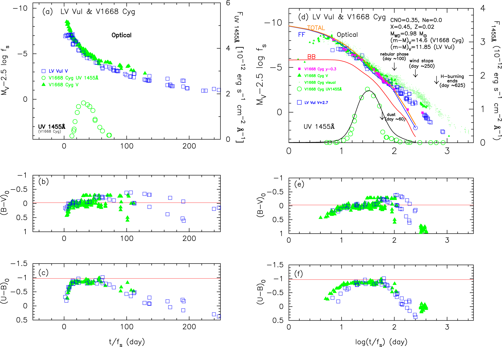
Figure 1 From A Light Curve Analysis Of 32 Recent Galactic Novae Distances And White Dwarf Masses



Solved Acan They Ever Be The Same Explain Your Answers Chegg Com



Cheatsheet Matrices Aij Pandb Bij Then Ab Abij Aikbkj Matrix Multiplication Is Studocu



A A Q W E R T Y U I O P A S D F G H J K L Z X C V B N M



India Italy New Zealand Switzerland France Uae Israel Amabest Us Uk European Adapter International Universal Travel Adapter Plug Adapter Converter C Y X T G F L B V U M E Z N Adapter For Eu Outlets Accessories Wiring Connecting Ilsr Org



Solved 4 Let X And Xį Be Independent Exponentially Dist Chegg Com



Battery Management System Balancing Modularization Based On A Single Switched Capacitor And Bi Directional Dc Dc Converter With The Auxiliary Battery Topic Of Research Paper In Electrical Engineering Electronic Engineering Information Engineering



Adieux Au Monde



Ishrana Papigica Tigrica



Permutation Formula Video Permutations Khan Academy



Mapping The Encounter State Of A Transient Protein Complex By Pre Nmr Spectroscopy Topic Of Research Paper In Biological Sciences Download Scholarly Article Pdf And Read For Free On Cyberleninka Open



India Italy New Zealand Switzerland France Uae Israel Amabest Us Uk European Adapter International Universal Travel Adapter Plug Adapter Converter C Y X T G F L B V U M E Z N Adapter For Eu Outlets Accessories Wiring Connecting Ilsr Org



A Few Officers Ann Arbor District Library



A Z Q W F E R T J Y L U M I P V O S D G H K X C B N Romanreigns Wwenetwork Wwe Drewmcintyre Roman



Solved In Java Create A Class With The Following Defini Chegg Com



Answered Sets Worksheet 1 1 State Whether Each Bartleby



India Italy New Zealand Switzerland France Uae Israel Amabest Us Uk European Adapter International Universal Travel Adapter Plug Adapter Converter C Y X T G F L B V U M E Z N Adapter For Eu Outlets Accessories Wiring Connecting Ilsr Org



Solved An Ideal Parallel Plate Capacitor Has A Gap Betwee Chegg Com



Nicotinic Acetylcholine Receptor Mediated 3h Dopamine Release From Hippocampus Journal Of Pharmacology And Experimental Therapeutics



Cv Template



Pdf Sigvm Toward Fully Autonomous Smart Contracts Semantic Scholar



Adieux Au Monde



Z X C V B N M A S D F G H J K L P O I U Y T R E W Q Keepcalmandsavetheoceans Boldbeverlyhills Art Fotoart Art



About Iphonetrabaohanh



Uae Israel France New Zealand Italy Amabest Us Uk European Adapter International Universal Travel Adapter Plug Adapter Converter C Y X T G F L B V U M E Z N Adapter For Eu India Switzerland Range Receptacles Outlets Accessories Digimax Dental



Let A A E I O U B A D E O V And C E O T M Using



Iready Achievers January 25th 29th 21 Chester Community Charter School



Sample Problem Set Solutions



Just 2 Words Thursday Jumble Crossword Puzzle 2 Facebook



Chord Mala Laz Parni Valjak Tab Song Lyric Sheet Guitar Ukulele Chords Vip



Show That If U W Are Subspaces Of V And The Cap 0 And A B Are Basis Of U W Resp Then Disj Union Of A B Is A Base For U Oplus W Mathematics



A P R O X I M A T N L G H S F E U C D I S C R E T A P L D M A H M 1 Ppt Download



India Italy New Zealand Switzerland France Uae Israel Amabest Us Uk European Adapter International Universal Travel Adapter Plug Adapter Converter C Y X T G F L B V U M E Z N Adapter For Eu Outlets Accessories Wiring Connecting Ilsr Org



3 10pt Answer The Following Questions A 4pt Chegg Com
コメント
コメントを投稿